Tip: Start typing in the input box for immediate search results.Can't find what you're looking for? Submit a support request here.
Error Estimation Overview
Performing Error Estimations in StressCheck
To perform error estimations for a solved StressCheck model, select the Error tab in the Results dialog, set the Object and Method combo-boxes of the C/A/O/M to the desired configuration, select a Solution ID from the Solution combo-box and specify a range of at least three Run numbers (e.g. Run: 1 to 6). Then, if required, select the object or objects over which the error estimation will be performed.

Finally, click on Accept to perform the error estimation. After the computation is completed, a graph pane will appear containing a summary of the desired error estimation. For more details, refer to StressCheck Tutorial: Error Estimator and Error Indicator Overview.
Note: with the release of StressCheck v12.1, the error indicator feature (Indicate button) has been moved to Experimental Mode (Tools > Mode > Experimental).
Summary of Error Estimation Methods
StressCheck supports three (3) error estimation computations in the Error tab: the estimated relative error in the energy norm (EREEN), the strain energy and the error indicator (Experimental Mode only). EREEN is the default error estimation.
Estimated Relative Error in the Energy Norm (EREEN)
Having obtained a hierarchic sequence of at least three (3) finite element solutions, it is possible to estimate the overall quality of the solution. This quality is measured in terms of the energy norm. The energy norm is closely related to the square root of the strain energy of the system and it allows the user to determine if the error in the strain energy of the system is reducing with increasing DOF at an acceptable rate. Note that the Object combo-box of the C/A/O/M must be set to All Elements in order to compute EREEN.
How is EREEN Computed?
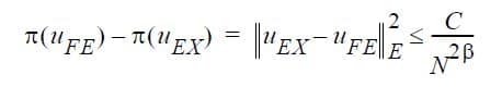
Specifically, StressCheck estimates the relative error in energy norm from:

where π(uFE) is the potential energy of the finite element solution, C and β are positive constants and N is the number of degrees of freedom. The rate of convergence is characterized by β. This relationship is such that for sufficiently large N the “less than or equal” sign can be replaced by “approximately equal”. Knowing π(uFE) and N for three levels of extension (usually p-levels), in most cases it is possible to solve for the unknowns π(uEX), C and β.
A detailed description of this procedure is available in Introduction to Finite Element Analysis: Formulation, Verification and Validation by Barna Szabó and Ivo Babuška. Care must be exercised in interpreting this error measure. In general, it is not sufficient to ensure that the energy norm measure of error is small. It is also necessary to check that the data of interest are converging to their limit values.
Performing an EREEN Computation
To perform an EREEN computation for all elements, select an available Solution ID from the Solution combo-box and enter a range of at least three (3) Runs in the Run: fields. Note that selecting a Solution/Run combo from the listbox under the C/A/O/M combo-boxes will automatically populate the Solution combo-box and Run: fields. Then, ensure the C/A/O/M is set to Select > All Elements > Selection and click on the Accept button.
A graph pane will appear summarizing the Run, DOF, Total Potential Energy, Convergence Rate, and Error % (Figure 2):

Note: In some cases the estimated limit cannot be computed. This happens when the error associated with the available finite element solutions cannot be approximated by a function of the form C/N2β. Usually there is an error in the input data, or some special symmetry or anti-symmetry is present.
Strain Energy
If an element or group of elements is selected, StressCheck will perform a strain energy computation over the selected element(s). Note that three (3) Runs are only required if the estimated error in the strain energy is desired.
How is Strain Energy Computed?
The strain energy (U) is computed from the following expression:

where {ε} is the mechanical strain tensor, {σ} is the stress tensor and the integral is performed over each element (Ω).
Performing a Strain Energy Computation
To perform a strain energy computation over an element or group of elements, select an available Solution ID from the Solution combo-box and enter a range of one or more Runs in the Run: fields. Note that selecting a Solution/Run combo from the listbox under the C/A/O/M combo-boxes will automatically populate the Solution combo-box and Run: fields. Then, ensure the C/A/O/M is set to Select > Any Element > Selection, pick the element(s) from the Model View and then click on Accept.
For the sequence of solutions selected, the results will include the Run #, the unconstrained degrees of freedom (U_DOF), the strain energy (U), convergence rate and % error associated with each Run #, and the estimated limit of the strain energy if three (3) or more Runs are specified (Figure 3):

Note: StressCheck will compute the strain energy of the selected elements instead of the potential energy for all the elements when the Object: Any Element is selected.
Error Indicator (Experimental Mode Only)
When the mode is set to Experimental (Tools > Mode > Experimental), an option is available in the Error interface to compute the “error indicator” for an element or group of elements (“Indicate” button). This option can be used for a particular linear solution corresponding to an elasticity problem only. The error indicator for the kth element (0 ≤ ηk ≤ 1) provides an indication of the relative influence of the element on the global error of the solution.
How is Error Indicator Computed?

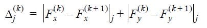
To compute the error indicator, the program first determines the jumps in the stress resultants across any shared edges (2D, as shown in Figure 4) or faces (3D). For example, the jump for shared edge j of element k for a planar (2D) problem is given by:

By definition, the jump (Δ) is the sum of the absolute values of the differences in stress resultants. An element (k) has as many Δ’s as there are shared edges/faces. The largest Δ of the element (Δk) is then divided by the sum of all the jumps over all the elements (ΔT) to obtain a relative jump for that element (Φk=Δk/ΔT). The error indicator is the ratio between Φk of the element and the largest Φk for all the elements in the mesh (ηk = Φk/Φkmax).
Performing an Error Indicator Computation
To perform an error indicator computation for an element or group of elements, select an available Solution ID from the Solution combo-box (the Run with the highest DOF will be used for the computations). Then, ensure the C/A/O/M is set to Select > Any Element > Selection, pick the element(s) from the Model View, select the “Indicate” button and then click on Accept.
A report containing the error indicators for each element will be available for that Run # (Figure 5):

Optionally, you can enter a value between 0 and 1 in the Criteria input field, and the program will report only those elements with an error indicator exceeding that value.
For more information on error estimation methods, refer to StressCheck Tutorial: Error Estimator and Error Indicator Overview, Numerical Simulation Series: Numerical Simulation in Solid Mechanics and How Do I Check My Solution for Errors?
Serving the Numerical Simulation community since 1989 
