Tip: Start typing in the input box for immediate search results.Can't find what you're looking for? Submit a support request here.
Total Load at a Point (TLAP) Implementation
Total Loads at Points (TLAPs) in StressCheck
Total point loads (TLAPs) obtained from the solution of a global model and imported into StressCheck can be associated to element faces or to surfaces of a solid model. TLAPs represent total forces/moments at global locations, such as gridpoint reactions, interface loads and/or hole fastener loads.
Two methods are available to support the application of TLAPs to 3D solid models: TLAP Bearing and TLAP Traction.
- TLAP Bearing is intended for cylindrical holes, and will result in a sinusoidal bearing traction.
- Two options are available: Default and Ignore Moments & Offsets (IMO).
- TLAP Traction is intended for non-cylindrical surfaces, such as cut sections, and will result in a generalized, statically equivalent traction distribution.
- Several options are available: All Faces, Near Faces and Cross Section.
- Care must be taken when extracting data of interest in the vicinity of TLAP Traction application.
Note: before performing a global-local analysis, it is important to determine if Saint-Venant’s Principle applies. For an overview of the two TLAP load methods, refer to StressCheck Tutorial: TLAP Loads.
TLAP Importation
Details for importing TLAPs are described in Importing Model Inputs under the heading “Importation of Total Loads at a Point (TLAP)”. StressCheck can import ASCII (.txt) and CSV/Excel (.csv) formats directly.
ASCII Format

A minimum of nine (9) and maximum of ten (10) columns are required. The data is organized such that the first three columns are the global coordinates of the points; the next three columns are the three components of the point force followed by the three components of the point moment. For TLAP the plate thickness can be added to the last column for compatibility with the running load case, but is not required.
Excel CSV/Format

Fourteen (14) columns are required for TLAP CSV files:
- 1st column represents the Case ID
- 2nd to 4th are the Global coordinates of the point x, y, z
- 9th, 10th, and 11th are the forces Fx, Fy, and Fz
- 12th 13th and 14th are the moments Mx, My, Mz
- Other columns may contain “dummy” (i.e. blank or null) values
Note: Multiple Case ID’s may be included in one CSV file, but separated by a row. For an example of importing a TLAP CSV file, refer to StressCheck Tutorial: Sample Global-Local Workflow for a 3D Rib Stress Analysis.
TLAP Display & Modification
Once the TLAP information is imported into StressCheck using the File > Import option, and the local solid model is available, select the Load tab of the Input dialog to assign a set of TLAP objects to a group of faces on the local solid model.
When the objects Any Surface, Face, or Face Surface are selected from the Object combo-box of the A/O/M, the TLAP-Bearing and TLAP-Traction options will be available. Selecting either option will provide access to TLAP display options:

TLAP display options are also available directly from the Point Load Case Definitions dialog (via Edit > Point Load Info… in the Main Menu).
TLAP Display
Once the name of the load has been entered, simply select from the list of Case ID’s to enable the display of associated TLAP data; TLAP objects are shown as small black triangles on the screen. The display options for the selected Case ID are:
- Locations: Shows input TLAP data on screen (triangles).
- Symbols: Shows 2 vectors per TLAP with the resultant input force (single arrow head) and moment (double arrow head).
- Labels: TLAP object number.
The display of TLAP objects may be controlled using their respective toggle boxes which are available from the Load tab of the Input dialog (when a TLAP loading method is selected), or from the Point Load Case Definitions dialog.
Below is an example of a TLAP display with all options enabled (Figure 4):

TLAP Modification
The “Edit definitions” button below the TLAP display options in the Load tab (or clicking on Edit > Point Load Info… in the Main Menu) enables the Point Load Case Definitions dialog shown below for the modification of existing input data or the creation of new TLAP objects (Figure 5):

The first column in the table is the case ID, the second is the TLAP object number, and the third column (Status) is used for indicating whether the TLAP object has been assigned to a load ID and the number of times it has been used. If a TLAP is assigned in a load record, the Status column is updated with “Assigned(1)” where the number in parenthesis is the number of times the point has been assigned in a load. Columns 4 to 6 contain the Global coordinates of the point load record (X, Y, Z), while columns 7 to 12 contain the three forces (Fx, Fy, Fz) and three moments (Mx, My, Mz).
If applicable, the last column shows the shell thickness(es) used in the global model; this column may be null and is for compatibility purposes. A summary with the number of TLAP objects for each case, as well as the summation of the force and moment components, are provided at the bottom of the case definition interface.
- To add a new TLAP object, simply enter values into the text fields in the edit region of the dialog, and click on the Add button. The new record will appear in the table shown in the bottom portion of the dialog. The dialog may be stretched to view the entire table.
- To edit a TLAP object definition, simply click on the object’s entry in the table and the corresponding data will be transferred to the input fields in the edit region of the dialog. Update the values and click on the Replace button to record the changes. Note that the display symbol corresponding to the TLAP object record selected in the table will be highlighted in the Model View.
- To select objects in the table, just click anywhere on the corresponding row of the table. The row will be highlighted in red, and the corresponding object will be highlighted in the Model View. Use the arrow key to move up or down in the table, and simultaneously transfer the data to the input fields and highlight the object in the Model View. The object will remain highlighted until the Cancel action is selected.
- To delete a TLAP object definition, simply click on the object’s entry in the table then click on the Delete button. To delete multiple TLAP objects at one time, hold the SHIFT key while selecting records to highlight multiple object in the table, then click Delete.
- To purge all TLAP object definitions for all cases, click on the Purge All button. The Purge Case button can be used to purge the TLAP objects of the Current Case only. If you purged all the TLAP objects by mistake and want to restore them back, click Undo.
When load assignment records are selected from the list box at the top of the Load tab, the corresponding edges/faces/surfaces and TLAP objects will be highlighted automatically in the Model View. The corresponding TLAP objects will also be highlighted in red in the table in the lower portion of the Point Load Case Definitions dialog. Use the <Previous and Next> buttons to automatically locate the next (or previous) highlighted record in the table.
TLAP Scaling
Users have the option to apply parametric scaling to TLAP loads. This functionality is implemented such that all TLAPs under a single Case ID will be uniformly scaled (i.e multiplied) by the current value of a scaling parameter. The scaling parameter may be any parameter defined within the model. It is selected using the Scaling Parameter dropdown on the Point Load Case Definitions dialog (Figure 6):

With TLAP scaling each Case ID may be scaled independently. Each TLAP Case ID may have a unique Scaling Parameter, or they may all share the same Scaling Parameter.
- A scaling parameter value greater than 1 would correspond to an increase in loading, while a scaling parameter less than one (but greater than zero) would represent a reduction in loading.
- A negative (less than zero) value scaling parameter would represent a load reversal.
This functionality is particularly useful for studying the effects of loading magnitude on the stresses and displacements, or on nonlinear response quantities such as yielding, plasticity, or residual stresses. Note: for use of the TLAP Scaling Parameter in the definition of Nonlinear Events and Incremental Theory of Plasticity (ITP) solutions, the parameter must be defined as Class: B. Cond. (boundary condition).
To add scaling to a specific TLAP Case ID a parameter must first be defined in the Parameters pane. Then, from the Point Load Case Definitions dialog, set the “Current Case:” to the desired Case ID and select any one of the TLAP objects from the table. The TLAP object’s coordinates and load components will populate the input fields above the table. Then select the desired scaling parameter from the Scaling Parameter dropdown and click Replace. The scaling will now be applied to all the TLAP objects under that Case ID.
To remove scaling from a specific TLAP Case ID the process is quite similar to adding scaling. To remove scaling from a TLAP Case ID first set the “Current Case:” to the desired Case ID and select any one of the TLAP objects from the table. If a TLAP case already has scaling applied, the scaling parameter will appear in the Scaling Parameter dropdown box when a TLAP object from that case is selected. Once a TLAP object is selected, expand the Scaling Parameter dropdown, select the blank space (no parameter name), and click Replace. The scaling will now be removed from all TLAP objects under that Case ID.
TLAP Bearing Method

This functionality was incorporated into StressCheck to allow for the importation of total load at points obtained from the solution of a global shell model, and their assignment to a set of selected faces or the surface of a solid model associated with a hole. The point force/moment (in Force units/Force-Length units) is converted into compressive normal tractions applied over the surface of the hole with a sinusoidal distribution along the circumferential direction. When the reference is set to 3D, the load method identified as TLAP Bearing may be found in the Load tab of the Input dialog.
There are two basic steps in converting point load data into bearing tractions: (a) Translation and rotation of the force/moment components to a local coordinate system at the center of the hole, and (b) determination of the distributed tractions in three orthogonal directions (normal, tangent circumferential and tangent axial).
Remark: Since TLAP Bearing loads are defined as compressive normal tractions, scaling with a negative coefficient will cause the load distribution to be “rotated” 180 degrees in the circumferential direction.
Formulation
If a point load has moment components, or a load component in the direction of the axis of the hole, or the location of the point load does not coincide with the center of the hole, additional tractions are applied to the hole in the tangent directions as to produce a statically equivalent system. To determine the tractions, the program first translate the three force components to the center of the hole, then rotates the three forces and three moments into the local system at the center of the hole, and then converts the resultant forces and moments into tractions.

Normal tractions (T0 and Tb) are distributed sinusoidally over 180 deg sector (90 deg to each side of the force resultant in the plane of the hole for T0, and between 0 and 180 deg from the direction of the moment vector for Tb), while the tractions due to axial shear (Tz) and twisting moment (Ts) are distributed as constant over the wall of the hole.
Given the components of forces Fx, Fy and Fz acting at the center of the hole as shown below, the corresponding tractions are given by:

Where F = √(Fx2 + Fy2). Similarly, given the moment components Mx, My and Mz shown in the following, the tractions due to the bending and twisting moments will be:

Autocorrect Option
When selecting the Autocorrect option (default) corrective tractions are added to the TLAP Bearing or Bearing traction distributions in order to correct the resultants for non-cylindrical holes or suboptimal meshes. The corrective tractions are defined by the following expressions:

Where Tcx, Tcy, Tcz are the corrective tractions, and Fcx, Fcy, Fcz, Mcx, Mcy, Mcz are computed as the difference between the user input and the resultant loads with respect to the selected centroidal system.
For a tutorial on the bearing autocorrect option, refer to StressCheck Tutorial: Autocorrect for Bearing and TLAP-Bearing Loads.
TLAP Options
The TLAP Option allows the user to create a TLAP Bearing load using two options:
Default: will generate a statically equivalent bearing traction distribution.
IMO (Ignore Moments and Offset option): will generate a TLAP Bearing distribution that ignores the original point load moment components and the moment contribution caused by the offset distance between the location of the point load and the center of the hole. Note that this option will NOT generate a statically equivalent system.
For a case study on the default vs IMO options, refer to StressCheck Tutorial: TLAP-Bearing Default vs Ignore Moments & Offsets (IMO) Case Study.
Assigning TLAPs via TLAP Bearing
The TLAP information can be imported into StressCheck using the File > Import option. Once the local solid model is available, select the Load tab of the Input dialog to assign a set of TLAPs to a group of faces around a hole or to the cylindrical surface(s) defining the holes in the solid model. When the object Face, Face Surface or Any Surface is selected in the Object combo-box of the A/O/M, the TLAP Bearing method is available for the assignment of the TLAP data.
- Once the name of the load has been entered, the user can select from the list of Case ID’s and enable the Locations option to enable the display of associated TLAP data. TLAP objects will be shown on the screen as small triangles.
- To create a TLAP Bearing load record based on TLAP data, select the surface(s) of the hole, select a coordinate system at the location of the hole with a Z-axis parallel to the hole axis, and then, while holding down simultaneously the CTRL and SHIFT keys of the keyboard, select the TLAP object(s) and click on the Accept button.
- If multiple load cases are imported for the same location, manually assign individual loads to holes for one load case only, and then use a copy operation to repeat the assignment for each additional load case.
Using the System Picker
The system can be chosen in the System selection dropdown, or the system picker mode can be enabled to pick a system from the Model View. The mode is enabled for all load assignments, but is particularly useful for bearing loads. To select a system from the Model View:
- Press the system picker button next to the System dropdown. This enables system selection mode.
- Left-click on any system in the Model View.
When a system is clicked, the System dropdown automatically updates and system selection mode is disabled.
Using the Create Auto Option
Systems may automatically be created by StressCheck for the application of TLAP Bearing loads (“Create Auto”, default option shown in the System dropdown). When using this method, a system is automatically created and associated to the load record, requiring the user to only pick the surface and the corresponding TLAP object(s) for the surface. Note that this method is only applicable for TLAP Bearing loads and requires the selection of a single geometric surface. Element faces/ face surfaces may not be used to automatically generate the coordinate system.
When the “Create Auto” option is selected, a system will automatically be created and associated to the TLAP Bearing load record. To generate the system automatically:
- Select the option “Create Auto” from the System dropdown (default).
- Left-click on a cylindrical surface in the Model View.
- CTRL+SHIFT click on a TLAP point(s) for the hole to apply the TLAP Bearing load and press “Accept”.
Note: Deleting load records with automatically created coordinate systems will not delete the coordinate system. Further, editing records created in this way will require manually selecting the coordinate system via the drop-down or by using the system picker option.
Checking TLAP Bearing Assignments
To check the resultant of applied TLAP-Bearing loads, set the A/O/M to Check > Any Record > Selection, and the Edit Load Cases interface will appear. Select any record from the Edit Load Cases interface, or select multiple records by holding CTRL while selecting (or Shift click). Once the desired records are selected, click Accept in the Load tab of the Input dialog:
This will bring up the Load Summary report for each selected TLAP Bearing record. The Load Summary report lists the resultant force and moment components of the applied TLAP Bearing load record, as well as the input point load information for comparison. Note that the number of elements reported in the Load Summary for each record corresponds to the number of elements affected by the load record.
The resultant force and moment components are computed with respect to the system and moment center specified in the Load tab of the StressCheck Input interface. Select a system using the system drop-down menu or use the System picker, and enter the coordinates of the moment center in the fields Moment-X, Moment-Y, Moment-Z. The reference input load components are also reported with respect to the specified system and moment center.
Bearing Load Checks
Two checks are performed when applying TLAP Bearing loads to holes: hole circularity and cylindrical taper.
- To check the circularity of the hole, the program computes the distance between the Z-axis of the coordinate system through the center of the hole and the location of each node on the surface of the hole (Ri) and compares it with the hole radius (R). If the relative difference for any node is larger than the default tolerance (TOL1 = 0.01 if uncorrected and TOL1 = 0.5 if corrected), StressCheck will issue a detailed error message indicating the circularity tolerance has been exceeded, and the TLAP Bearing load will not be applied. The TLAP Bearing load will be applied if all the nodes on the surface of the hole satisfy the following condition: (Ri-R)/R ≤ TOL1, where Ri is the radial distance from the Z-axis of the coordinate system to the ith node. The user can define a tolerance parameter (_bearing_tol) to override the default value of TOL1. Changing the tolerance may be needed when CAD geometry is imported into StressCheck.
- To check if the ends of the cylinder defining the hole are parallel (no taper) the program computes the maximum height of the cylinder (h1) and compares it with the average height of the cylinder (h2). If the relative difference between the two values is larger than the default taper tolerance (TOL2 = 0.1), StressCheck will issue a detailed error message indicating the taper tolerance has been exceeded and the TLAP Bearing load will not be applied. The TLAP Bearing load will be applied if the taper satisfies the following condition: (h1-h2)/h2 ≤ TOL2. The user can define a tolerance parameter (_taper_tol) to override the default value of TOL2.
Note: the Autocorrect option will attempt to adjust for hole circularity and/or taper issues (to an extent). If significant corrections are required, a warning will occur indicating the % adjustment.
TLAP-Traction Method

Total Loads at a Point (TLAPs) obtained from the solution of a global shell/solid model can also be associated to faces or to surfaces of a solid model which are not part of a hole (general surfaces). The total point force/moment is converted into tractions distributed over the faces of the solid elements such that they are statically equivalent to the corresponding point load/moment. When the reference is set to 3D, the load method identified as TLAP Traction is available in the Load class of the Input dialog.
There are three TLAP Traction Options for computing statically equivalent traction distributions based on the selected TLAP(s) and surface(s)/element face(s): Near Faces, All Faces and Cross Section.
- All Faces: all the selected point loads will be distributed to all the selected faces.
- Near Faces (Default): each point load will be applied to only one face; the face closest to the load
- Cross Section: all the selected point loads will be distributed to the selected faces as a linear traction distribution.
For a case study comparing TLAP Traction results vs a statically equivalent constant traction results, refer to StressCheck Tutorial: TLAP-Traction vs Uniform Traction Case Study.
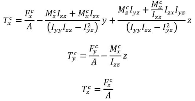
All Faces/Near Faces Formulation
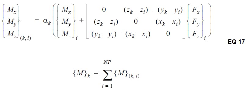
If the selected TLAP Option is All Faces or Near Faces, there are three steps in converting TLAP data into distributed tractions: (a) Distribution of the point loads and point moments (TLAPs) to the centroid of all the selected faces in proportion to the area of each face for the All Faces option or to the closest face to the TLAP for the Near Faces option; (b) Update of the face moment from the translation of the point force from its original position to the centroid of each face; and (c) Determination of the distributed tractions in global coordinates directions.

Let {F}i, {M}i, i=1, …, NP be the ith vector corresponding to NP imported point load/moments to be assigned to NF faces of the model using the All Faces option. The area ratio (αk) for a face of area Ak is computed as:

Note: for the Near Faces option, NF = 1 and αk = 1. The total load {F}k associated with face k will be:

The moment share for each face {M}k will be given by:

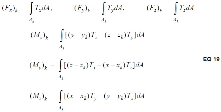
The distributed tractions over the kth face can be written in terms of the local variables associated with the face as follows:

where ai, i=1 to 9 are unknown coefficients, ξ and η are the standard coordinates in the local system of the face (see below) and Φ(ξ, η) is a bubble mode function associated with the face and given by:
- Φ(ξ, η) = (1-ξ2)(1-η2) for quadrilateral faces
- Φ(ξ, η) = L1L2L3 for triangular faces

where L1, L2, L3 are the area coordinates of the triangular face given in “Finite Element Analysis” p. 102, by Szabó, B. A. and Babuska, John Wiley and Sons, Inc. New York, 1991. The unknown coefficients are obtained from the conditions of static equilibrium:

Substituting EQ 18 into EQ 19 and performing the indicated integrals, a system of six equations and nine unknowns is obtained. To solve the system, it is necessary to select the basis (6 linearly independent unknowns) and set the other three to zero.
For more information on the TLAP Traction Near Faces vs All Faces options, refer to What’s the Difference Between TLAP-Traction Options Near Faces and All Faces?
Cross Section Formulation
The TLAP force and moment components are converted into a statically equivalent linear traction distribution, applied over the selected element face(s)/surface(s) as shown below.


The Cross section option is limited to coplanar flat surfaces, therefore load records will not be created for non-coplanar or non-flat selections.
For an example of the TLAP Traction Cross Section option, refer to StressCheck Tutorial: TLAP-Traction Cross Section Method for Global-Local Analysis.
Remark: The shear components of the linear traction distributions generated by the TLAP Cross Section option do not satisfy the stress free boundary conditions for general cross sectional shapes. Extractions near the area of load application are discouraged.
Assigning TLAPs via TLAP Traction
The TLAP information can be imported into StressCheck using the File > Import option. Once the local solid model is available, select the Load tab of the Input dialog to assign a set of TLAPs to a group of faces or surface(s) of the solid model using the Near Faces, All Faces or Cross Section TLAP Option. When the object Face, Face Surface or Any Surface is selected in the Object combo-box of the A/O/M, the TLAP Traction method is available for the assignment of the TLAP data.
- Once the name of the load has been entered, the user can select from the list of Case ID’s and enable the Locations option to enable the display of associated TLAP data. TLAP objects will be shown on the screen as small triangles.
- To create a TLAP Traction load record based on TLAP data, select the element face(s) or surface(s), set the TLAP Option, and then, while holding down simultaneously the CTRL and SHIFT keys of the keyboard, select the TLAP object(s) and click on the Accept button.
- If multiple load cases are imported for the same location, manually assign individual loads to element faces/surfaces for one load case only, and then use a copy operation to repeat the assignment for each additional load case.
Copying TLAP Bearing/Traction Load Cases
After the load records for a specific Case ID are created, a copy operation may be used to create the records for the additional Case ID’s. To display the Global/Local Copy dialog, select either the TLAP Bearing or TLAP Traction method and click on the “Copy load case” button in the Load tab. Then proceed as follows:
- Select an existing Load case (e.g. LOAD1) and select at least one load assignment record from the list available in the Global/Local Copy dialog.
- Check the Select all toggle to duplicate all entries associated with the existing Load case. All the existing records will be highlighted.
- Enter the new load ID (e.g. LOAD2), select the new Case ID from the combo box (eg. C2), and then click on Accept.
The new load records will appear in the Load tab record list.
Serving the Numerical Simulation community since 1989 
